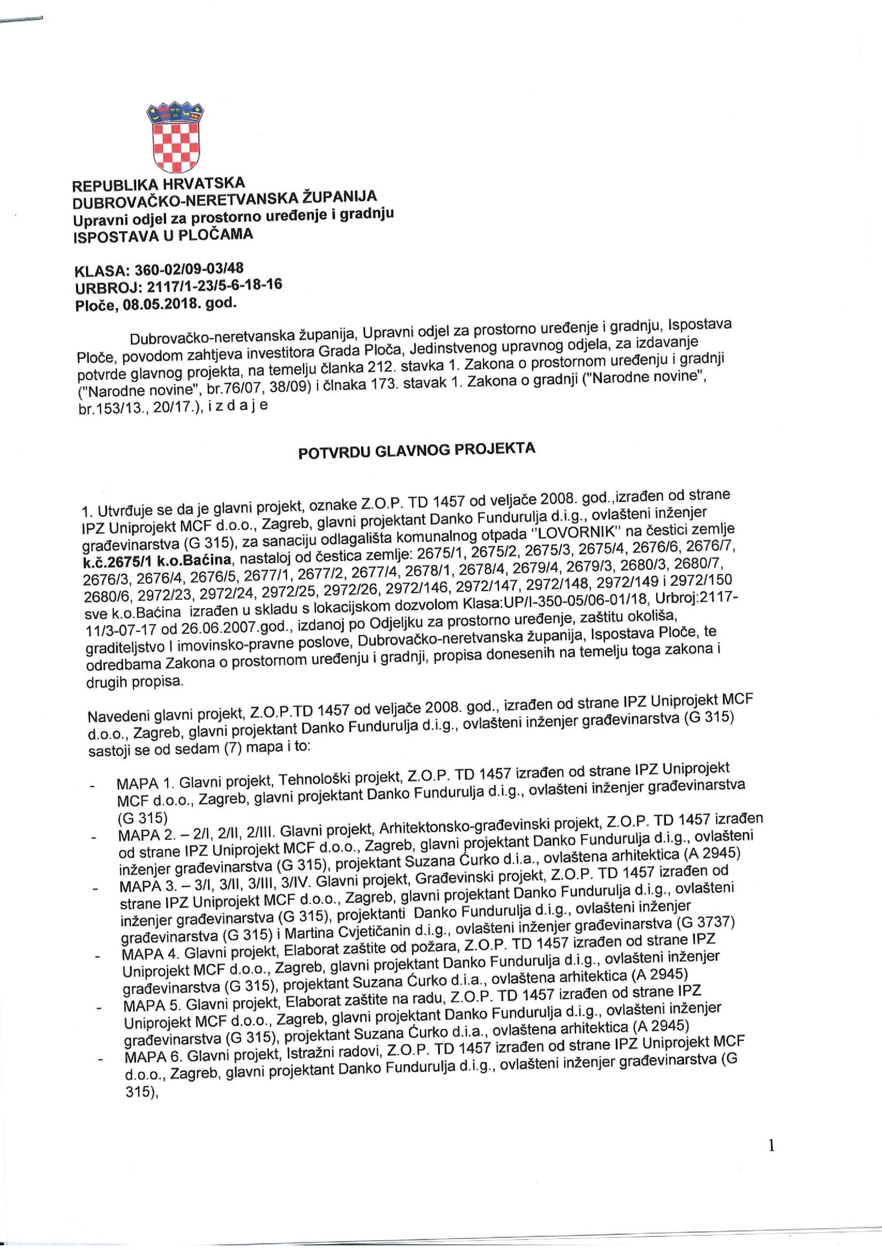
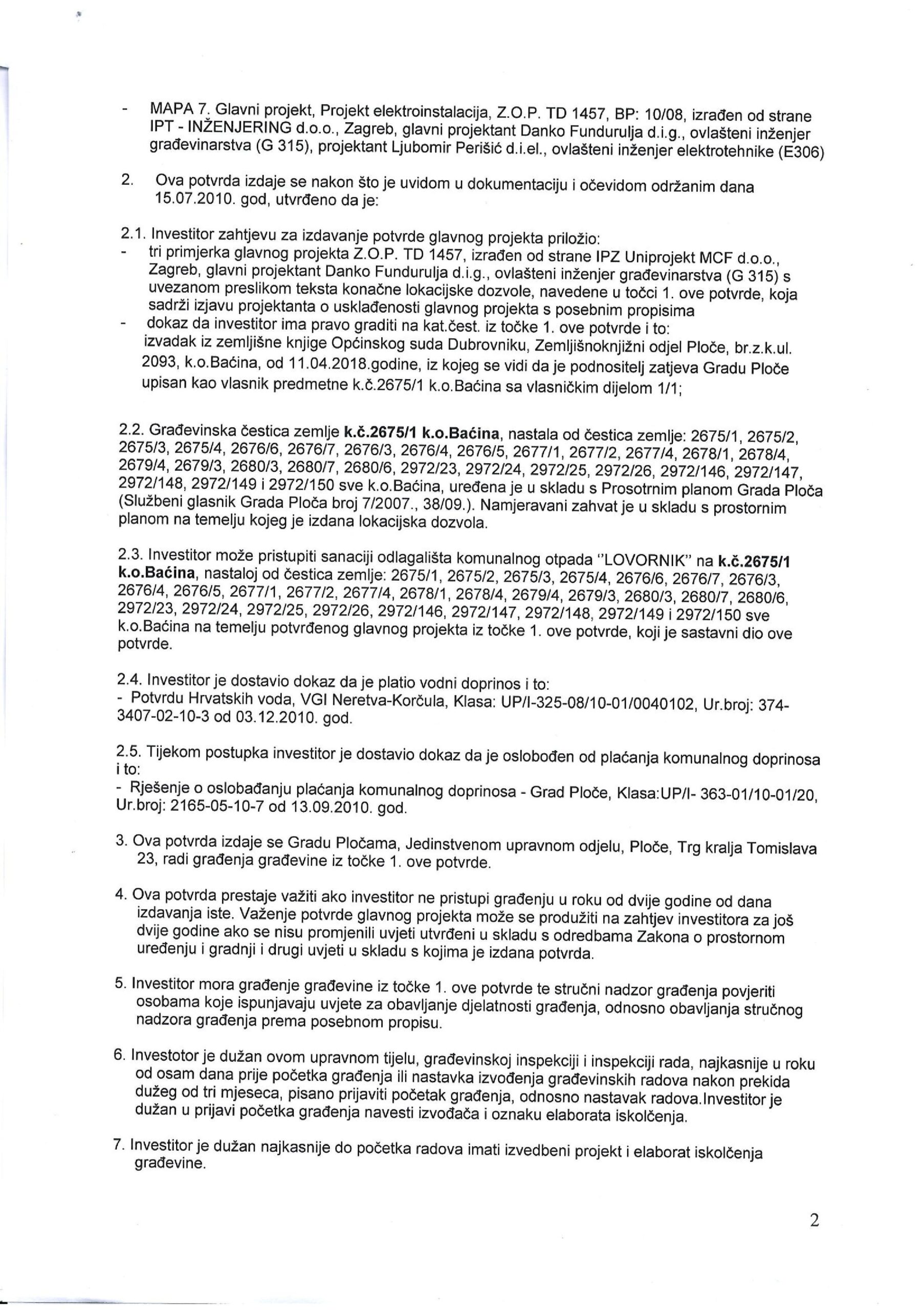
Dubrovačko – neretvanska županija, Upravni odjel za prostorno uređenje i gradnju, Ispostava Ploče, povodom zahtjeva investitora Grada Ploča, Jedinstvenog upravnog odjela, za izdavanje potvrde glavnog projekta izdala je Potvrdu glavnog projekta za sanaciju odlagališta komunalnog otpada “Lovornik” na čestici zemlje k.č.2675/1 k.o. Baćina, izrađen u skladu s lokacijskom dozvolom od 26.06.2007. god.
Navedeni glavni projekt datira od veljače 2008. godine, izrađen je od strane IPZ Uniprojekt MCF doo Zagreb i sastoji se od 7 mapa (u prilogu).
Investitor Grad Ploče može pristupiti sanaciji odlagališta komunalnog otpada “Lovornik” na temelju potvrđenog glavnog projekta. Također, Grad je dostavio dokaz da je platio vodni doprinos i da je oslobođen plaćanja komunalnog doprinosa.
Potvrda prestaje važiti ako investitor ne pristupi građenju u roku od dvije godine od dana izdavanja iste. Važenje potvrde glavnog projekta može se produžiti na zahtjev investitora za još dvije godine ako se nisu promjenili uvjeti utvrđeni u skladu s odredbama Zakona o prostorno uređenju i gradnji i drugi uvjeti u skladu s kojima je izdana potvrda.




